• Предмет: Математика
  • Автор: takk724821
  • Вопрос задан 1 год назад

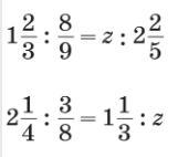
1 \frac{2}{3} : \frac{8}{9} = z : 2 \frac{2}{5}



2 \frac{1}{4} : \frac{3}{8} = 1\frac{1}{3} : z

Приложения:

Ответы

Ответ дал: iramazurk
0

Пошаговое объяснение:

1 2/3 : 8/9 = z : 2 2/5

8/9 * z = 1 2/3 * 2 2/5

8/9z = 5/3 * 12/5

8/9z = 1/1 * 4/1

8/9z = 4/1

z = 4/1 : 8/9

z = 4/1 * 9/8

z = 1/1 * 9/2

z = 9/2

z = 4 1/2

2 1/4 : 3/8 = 1 1/3 : z

2 1/4 * z = 3/8 * 1 1/3

2 1/4z = 3/8 * 4/3

9/4z = 1/2 * 1/1

9/4z = 1/2

z = 1/2 : 9/4

z = 1/2 * 4/9

z = 1/1 * 2/9

z = 2/9

Вас заинтересует