• Предмет: Алгебра
  • Автор: vorontsovroman09
  • Вопрос задан 2 года назад

Даю 80 балов СРОЧНО!

Приложения:

Ответы

Ответ дал: MrFlyguy
1

Объяснение:

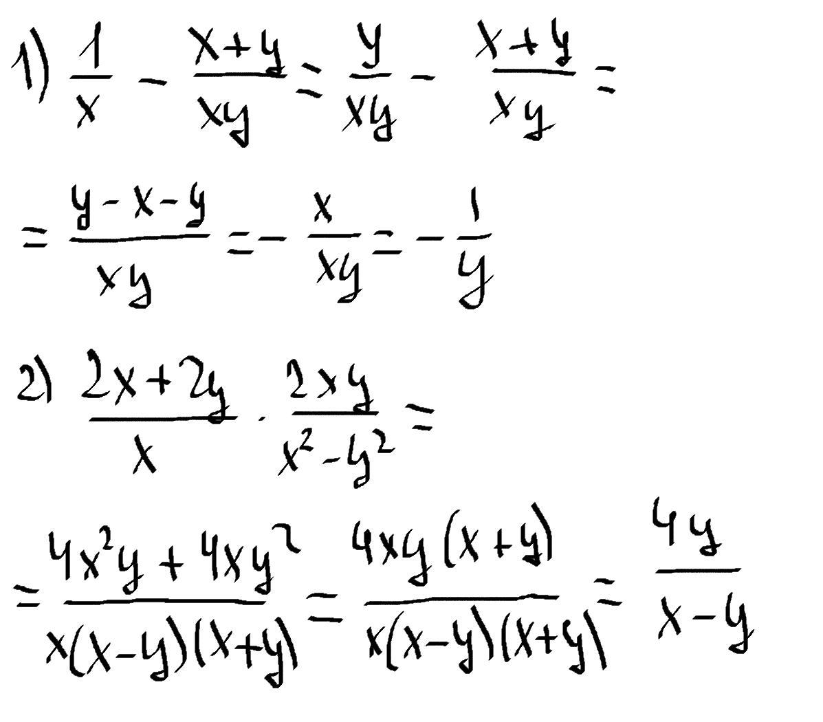
Решение на фото

Приложения:
Вас заинтересует