• Предмет: Математика
  • Автор: shponkaevgeniy
  • Вопрос задан 2 года назад

помогите с математикой,нуждно решение и шаги как решыть​

Приложения:

Ответы

Ответ дал: MrFlyguy
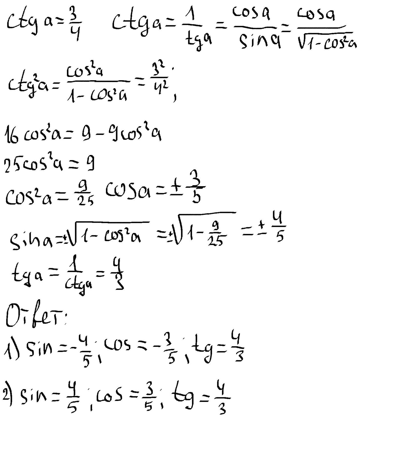
1

Ответ:

1) sin a = -4/5, cos a = -3/5, tg a = 4/3

2) sin a  = 4/5, cos a = 3/5, tg a = 4/3

Пошаговое объяснение:

На фото

Приложения:
Вас заинтересует