Ответы
Ответ дал:
0
Ответ:
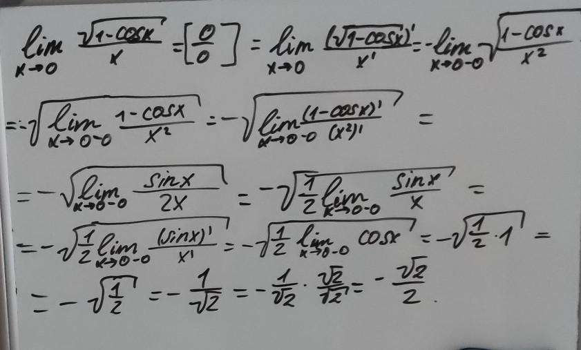
Ответ смотрите на фотографии, дайте пожалуйста корону.
Пошаговое объяснение:
На фотографии найден левосторонний предел, правосторонний будет решаться так же только без минус везде и получится 1/√2 или √2/2. По идее общий предел должен быть равен нулю, но я так не утверждаю.
Приложения:

Вас заинтересует
1 год назад
1 год назад
1 год назад
2 года назад
2 года назад