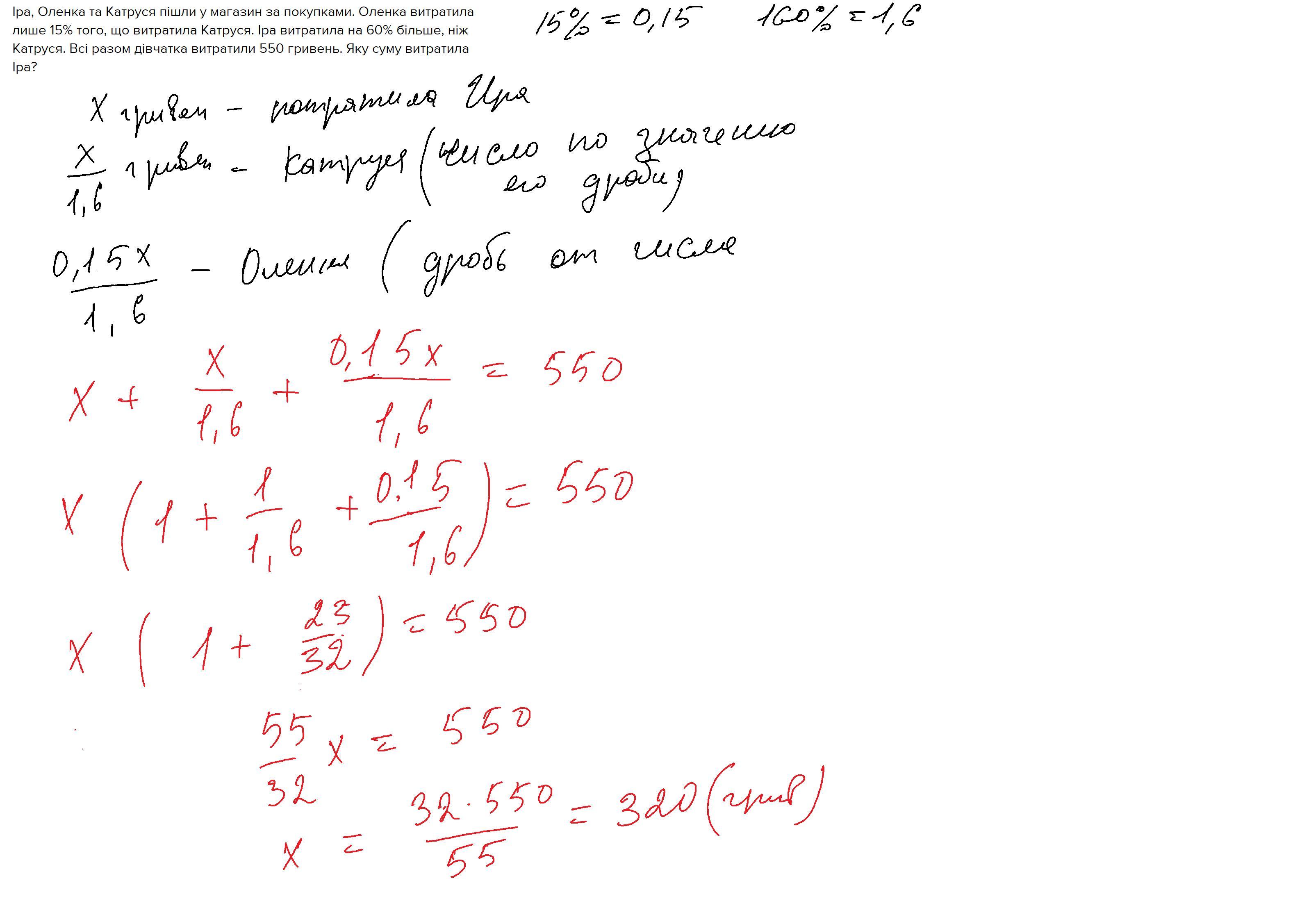
Іра, Оленка та Катруся пішли у магазин за покупками. Оленка витратила лише 15% того, що витратила Катруся. Іра витратила на 60% більше, ніж Катруся. Всі разом дівчатка витратили 550 гривень. Яку суму витратила Іра?
Ответы
Ответ дал:
4
Ответ:
Пошаговое объяснение:примерно
Приложения:

Ответ дал:
2
Ответ:
320
Пошаговое объяснение:
К = х
І = 1.6х
О = 0.15х
х + 0.15х + 1 .6х = 550грн
2.75х = 550
х = 200
І = 1.6 * 200 = 320
Вас заинтересует
1 год назад
1 год назад
2 года назад
2 года назад