Методом интервала решить неравенства:
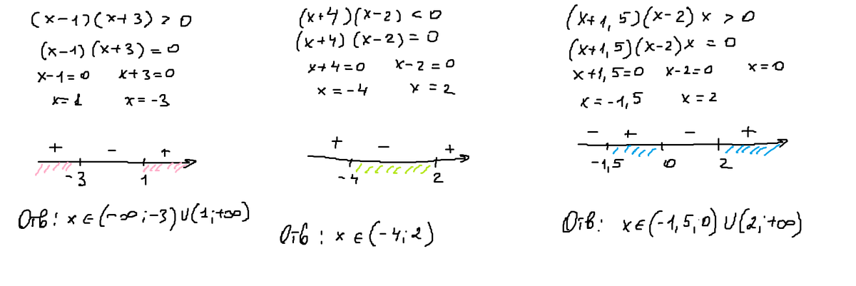
1) (х-1)(х+3)>0
2) (x+4)(x-2)<0
3) (x+1.5)(x-2)х>0
Заранее спасибо!:)
Ответы
Ответ дал:
0
Если понравилось решение - нажимай "спасибо" и "лучший" (рядом с кнопкой "спасибо") :)
Приложения:
Ответ дал:
0
http://znanija.com/task/5437737
Вас заинтересует
3 года назад
3 года назад
8 лет назад
8 лет назад
11 лет назад
11 лет назад
11 лет назад
11 лет назад