• Предмет: Алгебра
  • Автор: 606002981
  • Вопрос задан 10 лет назад

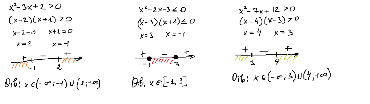
Решить квадратное неравенство:
1) x^2-3x+2>0
2) x^2-2x-3<или=0
3) x^2-7x+12>0
Заранее спасибо!:)

Ответы

Ответ дал: esmilya
0
Если понравилось решение - нажимай "спасибо" и "лучший" (рядом с кнопкой "спасибо") :)
Приложения:
Вас заинтересует