Ответы
Ответ дал:
1
Ответ:
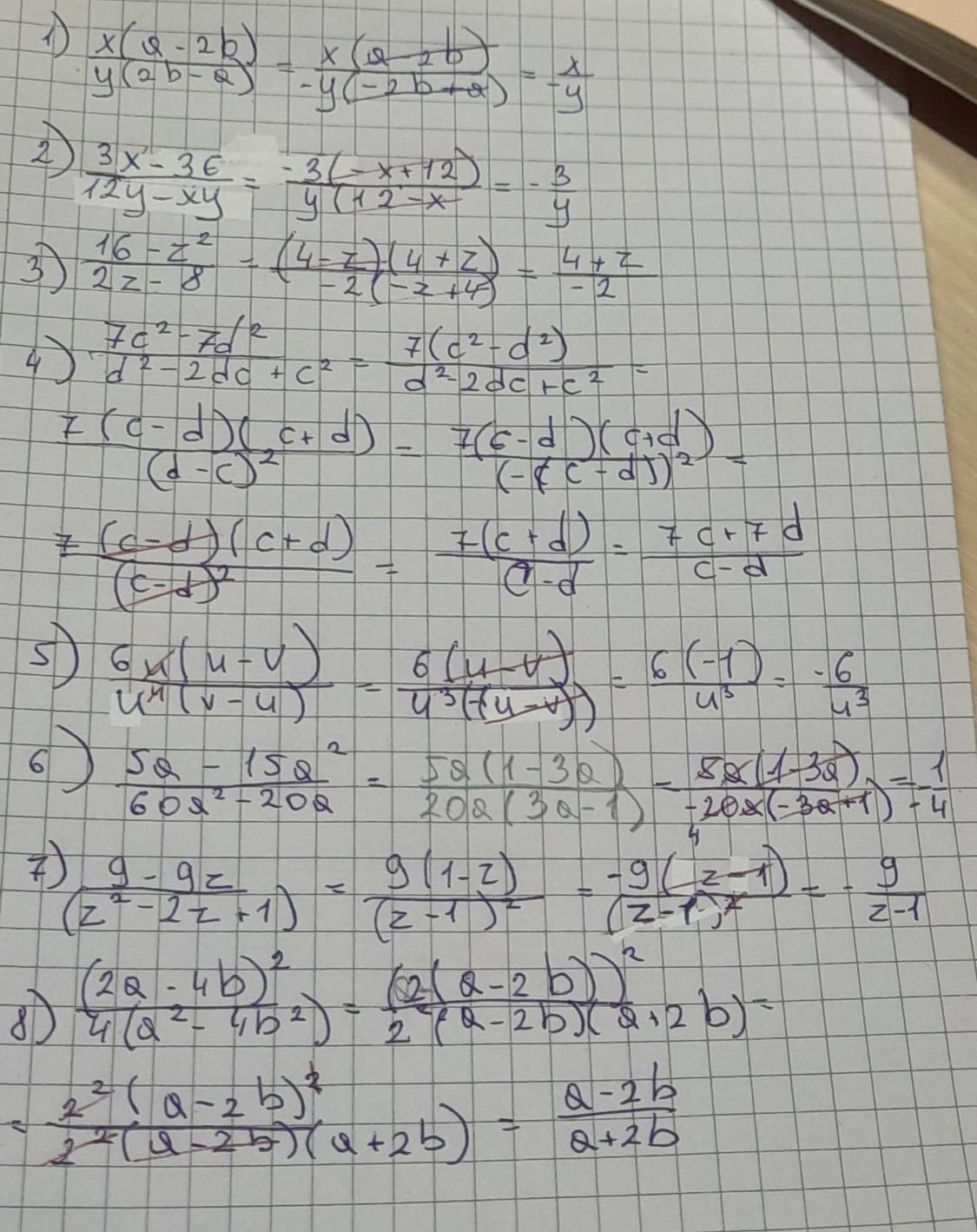
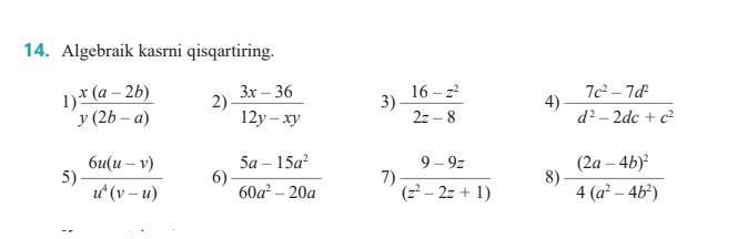
Ответ на рисунке:
Объяснение:
Рисунок:
Приложения:

Вас заинтересует
1 год назад
1 год назад
2 года назад
2 года назад
8 лет назад