Знайти масову частку елемента(я не знаю це воно чи ні, вибачте) алюмінію та оксигену за зразком на фото. Терміново.
Приложения:

Ответы
Ответ дал:
1
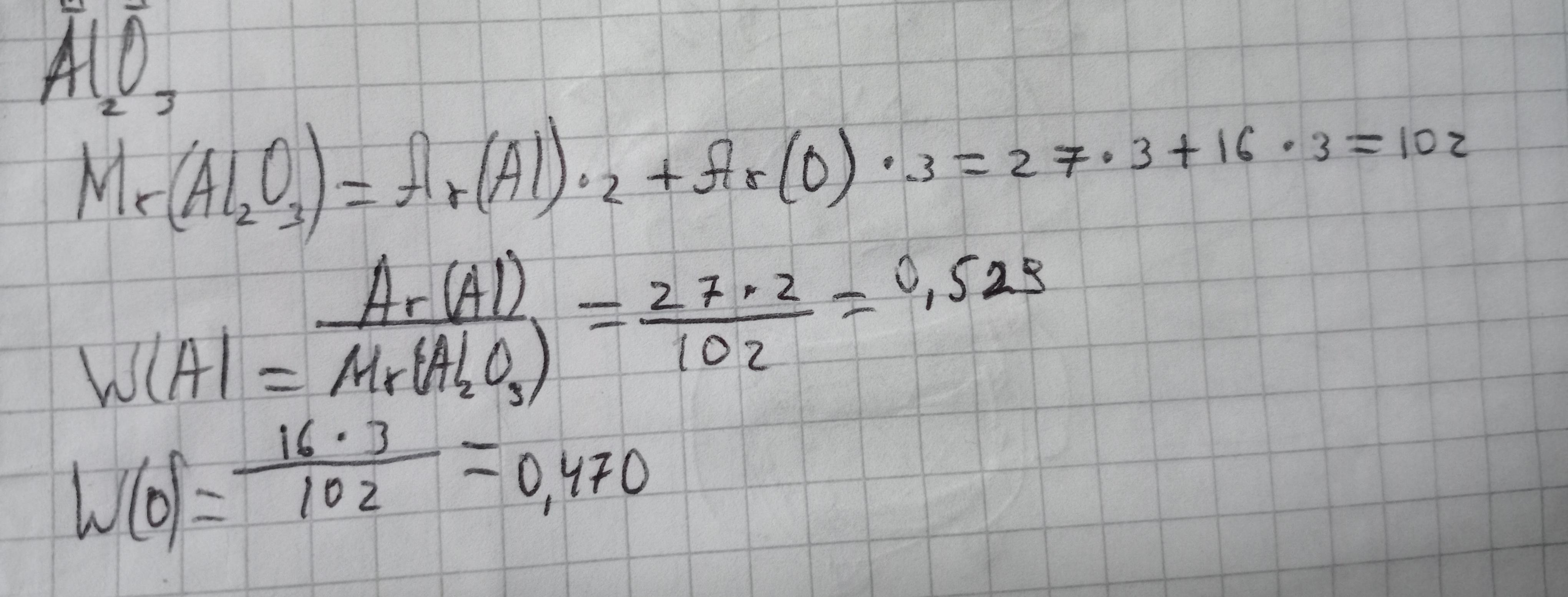
Ответ:
Я записала по формуле Mr
Приложения:

wchsqglslsl:
спасибо большое!!
Вас заинтересует
1 год назад
1 год назад
2 года назад
2 года назад