• Предмет: Математика
  • Автор: Аноним
  • Вопрос задан 1 год назад

(5 целых - 3/4) - (2 целые 1/4 + 1 целая 3/4)
Можно с обьяснением пожалуйста

Ответы

Ответ дал: nastyatari
1

Ответ:

Пошаговое объяснение:

5- 3/4-2 1/4+ 1 3/4=1/4

1)5-3/4= 4  4/4-3/4  =4 1/4

2)2 1/4+1 3/4=3 4/4=4

3)4 1/4-4=1/4

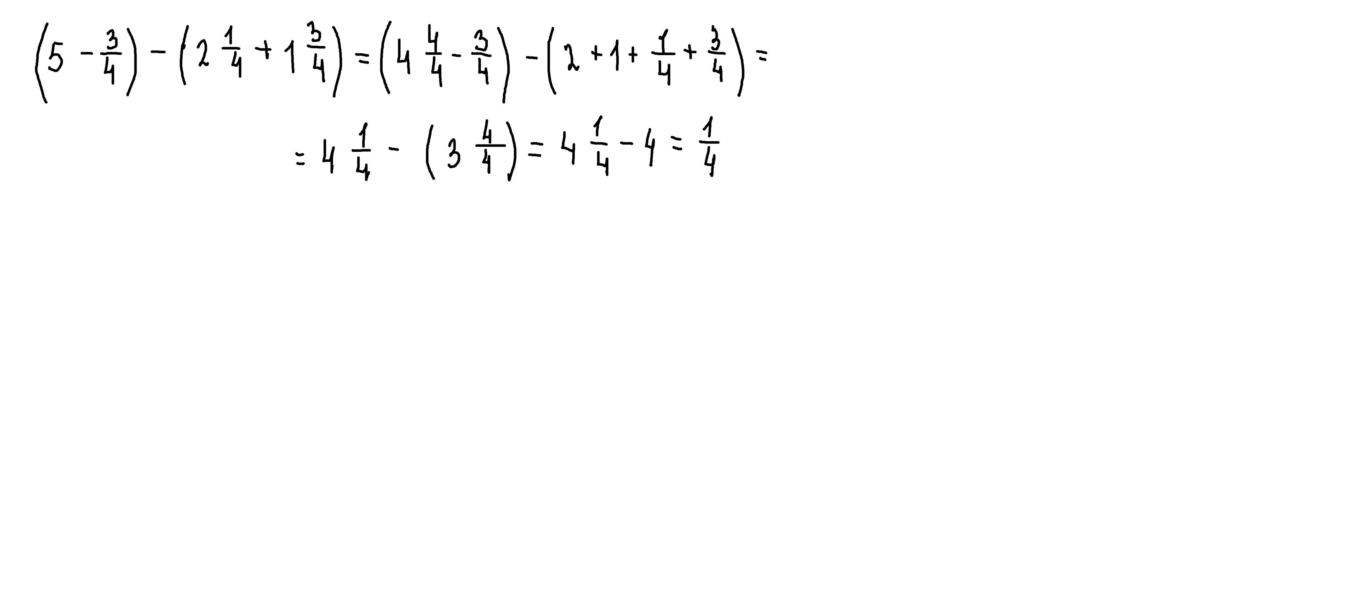
Ответ дал: parus77
1

Ответ:

1/4

Пошаговое объяснение:

решение внизу

Приложения:

Аноним: Спасибки
parus77: пожалуйста
Вас заинтересует