• Предмет: Математика
  • Автор: Homyachoks000
  • Вопрос задан 10 лет назад

номер 923, 924
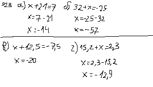
923) Найдите корень уравнения
924) Найдите значение выражения

Приложения:

Ответы

Ответ дал: Emajn
0
923 a) x=-14 b) x=-57 c) x=-20 d) x=-12.9
Ответ дал: Yasha96
0
923 на картинке
924.
а)0.7-0.2-1.6+0.3-0.4=-1.2
б)-3+0.9-1.4-0.2+...(не видно число)=-3.7+не видно мне число
в) и г) на картинке №2
Приложения:
Вас заинтересует