• Предмет: Математика
  • Автор: arinalygalova
  • Вопрос задан 1 год назад

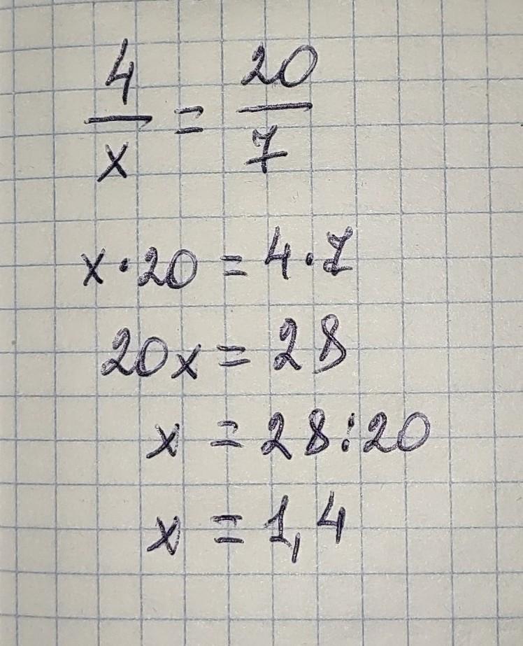
4/х=20/7 ДОПОМОЖІІІІІІІТЬ БУДЬ ЛАСКА 20 БАЛІВ... БІЛЬШЕ НЕ МОЖУ ДАТИ ​

Ответы

Ответ дал: Аноним
1

4/х = 20/7

х = 4 / 20/7

х = 7*4/20

х = 7/5

х = 1 2/5


Аноним: Відміть як краще будь ласка
Ответ дал: tetamotatetyamotya
1

Ответ:

..............

Пошаговое объяснение:

.................

Приложения:
Вас заинтересует