• Предмет: Алгебра
  • Автор: alenadobrova
  • Вопрос задан 1 год назад

Sin x\5>1\2 срочно помогите

Напишите полноценный ответ с вычислениями

Ответы

Ответ дал: NNNLLL54
1

Ответ:

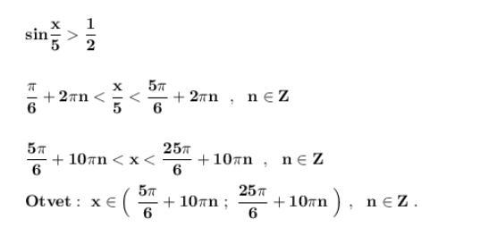
Решить тригонометрическое неравенство . Отмечаем на тригонометрическом круге значения синуса , большие 1/2 .

\bf sin\dfrac{x}{5} > \dfrac{1}{2}\\\\\\\dfrac{\pi }{6}+2\pi n < \dfrac{x}{5} < \dfrac{5\pi }{6}+2\pi n\ \ ,\ \ n\in Z\\\\\\\dfrac{5\pi }{6}+10\pi n < x < \dfrac{25\pi }{6}+10\pi n\ \ ,\ \ n\in Z\\\\Otvet:\ x\in \Big(\ \dfrac{5\pi }{6}+10\pi n\ ;\ \dfrac{25\pi }{6}+10\pi n\ \Big)\ ,\ \ n\in Z\ .                    

Приложения:

kimkarina953: Здравствуйте, не могли бы помочь с алгеброй пожалуйста
Вас заинтересует