Ответы
Ответ дал:
4
Ответ:
вот ответ, 100% правиьный
Приложения:
Paimon2904Paimon2904:
Спасибо большое
Ответ дал:
1
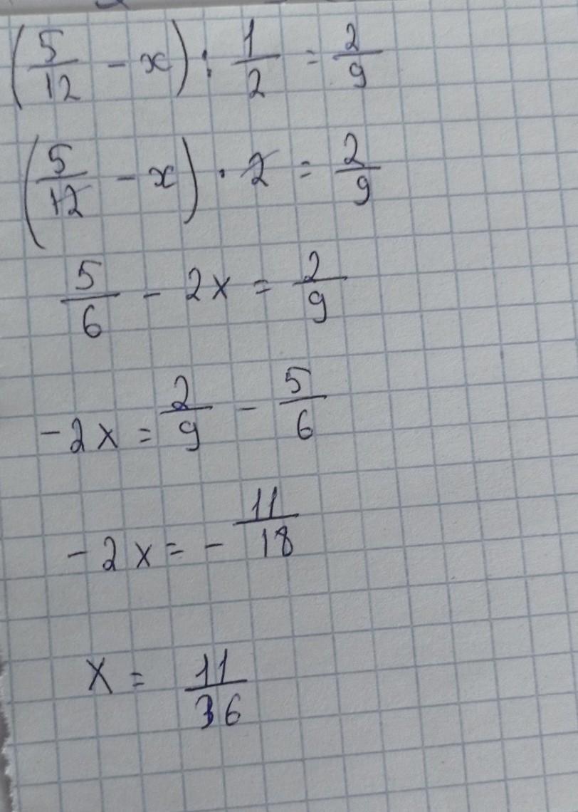
(5/12-х):1/2=2/9
5/12-х=2/9*1/2
-х =2/18-5/12
-х=4/36-15/36
-х=-11/36
Можна кращу відповідь будь ласка? Мені дуже треба
5/12-х=2/9*1/2
-х =2/18-5/12
-х=4/36-15/36
-х=-11/36
Можна кращу відповідь будь ласка? Мені дуже треба
Вас заинтересует
1 год назад
1 год назад
1 год назад
3 года назад
8 лет назад