НУЖНО СРОЧНО!!!
Тема: Решение простеишйх систем, содержащих уравнение второй степени.
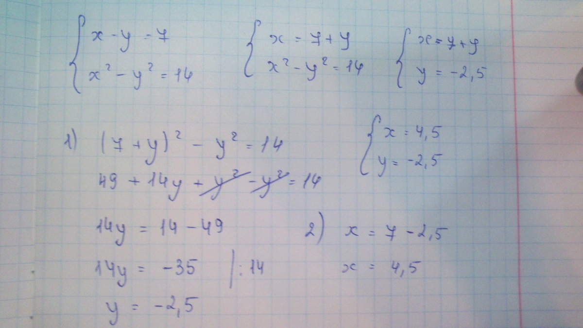
Решить систему уравнений
496:

Ответы
Ответ дал:
0
смотри во вложение, там всё расписал:)
Приложения:

Вас заинтересует
2 года назад
8 лет назад
10 лет назад
10 лет назад
10 лет назад