Ответы
Ответ дал:
0
.....................................
Приложения:
Ответ дал:
0
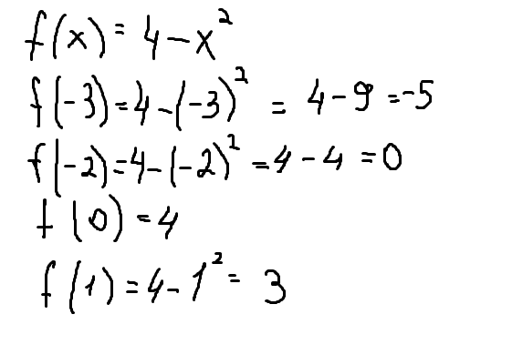
f(x)=4-x^2
f(-3)=4-(-3)^2
f(-3)=-5
f(-2)=4-(-2)^2
f(-2)=0
f(0)=4-0^2
f(0)=4
f(-1)=4-(-1)^2
f(-1)=3
f(-3)=4-(-3)^2
f(-3)=-5
f(-2)=4-(-2)^2
f(-2)=0
f(0)=4-0^2
f(0)=4
f(-1)=4-(-1)^2
f(-1)=3
Приложения:
Вас заинтересует
3 года назад
3 года назад
8 лет назад
11 лет назад
11 лет назад
11 лет назад