• Предмет: Математика
  • Автор: sofi123456zx
  • Вопрос задан 1 год назад

допоможіть будь ласка
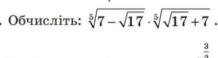
Обчисліть: 5^√7-√17•5^√√17+7

Приложения:

Ответы

Ответ дал: Qubi136
0

Ответ:

Пошаговое объяснение:

Приложения:
Вас заинтересует