• Предмет: Алгебра
  • Автор: wryrambler
  • Вопрос задан 1 год назад

Даю максимальное количество балло ответ и ответ в тесте (лучше сфотографировать решение с рисунком)

Приложения:

Ответы

Ответ дал: MizoriesKun
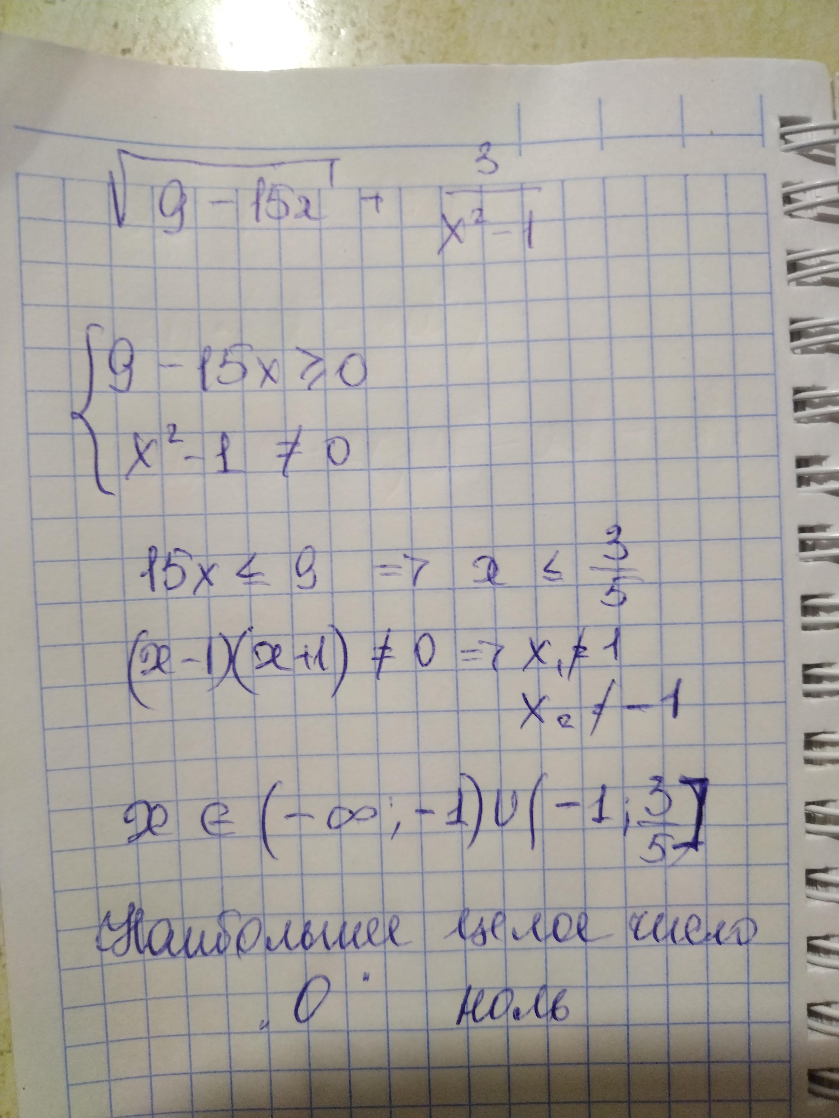
0

смотри....................

Приложения:

wryrambler: То есть в рисунке ещё должно быть в начале и до -1 с верху чёрточки с -1 до 3/5 снизу?
wryrambler: У меня то так само сделано но я был не уверен,просто у меня только чёрточки с верху и от -бесконечности до 0,6 или 3/5 как у вас.
MizoriesKun: Сейчас нарисую
wryrambler: Спасибо вам огромное!!!
wryrambler: Да,у меня так же. Спасибо большое!
MizoriesKun: Смотри 1 и-1 выколотые точки , т.е они не входят. А 3/5 черная (полная) точка . так показываем , что она входит в промежуток
MizoriesKun: Обнови страничку , добавила фото
wryrambler: Я уже увидел
wryrambler: Спасибо ещё раз)
Аноним: Помогите с вопросом
Вас заинтересует