Ответы
Ответ дал:
0
дальше
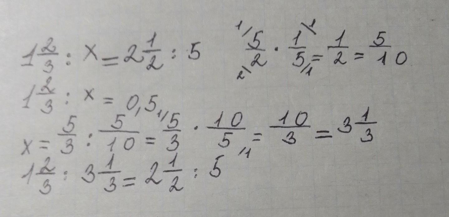
20=3x
x=20/3
x=6 2/3
20=3x
x=20/3
x=6 2/3
Приложения:

Ответ дал:
0
Сигма крипер вместе с сигма свинкой шли по полю прилепили на себя алмазы по приколу
Приложения:

Вас заинтересует
1 год назад
1 год назад
1 год назад
1 год назад
2 года назад
8 лет назад