Ответы
Ответ дал:
0
Ответ:
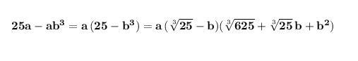
Разложить на множители . Применяем формулу разности кубов .
Приложения:

Вас заинтересует
1 год назад
1 год назад
1 год назад
1 год назад
8 лет назад