• Предмет: Математика
  • Автор: SKZ89
  • Вопрос задан 1 год назад

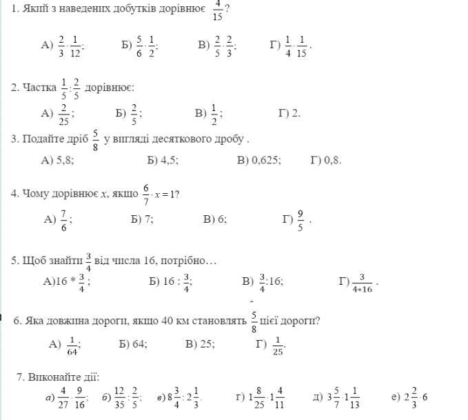
допоможіть з 3по7 запитання

Приложения:

Ответы

Ответ дал: daniilunicef
1

Ответ:

3. 5:8=0,625 Правильна відповідь - В)0,625

4.Правильна відповідь - А) 7/6

5.Правильна відповідь - А) 16*3/4

6.Правильна відповідь - Б)64

7.а)

 \frac{4}{27}  \times  \frac{9}{16} =  \frac{1}{27 }  \times  \frac{9}{4} =  \frac{1}{3}  \times  \frac{1}{4}  =  \frac{1}{12}

б)

 \frac{12}{35}  \div  \frac{2}{5} =  \frac{12}{35} \times  \frac{5}{2}  =  \frac{6}{35}  \times 5 =  \frac{6}{7}

в)

8 \frac{3}{4} \div 2 \frac{1}{3} =   \frac{35}{4} \div  \frac{7}{3} =  \frac{35}{4}  \times  \frac{3}{7} =  \frac{5}{4} \times 3 =  \frac{15}{4}

г)

1 \frac{8}{25}  \times 1 \frac{4}{11} =  \frac{33}{25}  \times  \frac{15}{11} =  \frac{3}{5} \times 3 =  \frac{9}{5}

д)

3 \frac{5}{7}  \times 1 \frac{1}{13} =  \frac{26}{7}   \times  \frac{14}{13}  = 2 \times 2 = 4

е)

2 \frac{2}{3}  \times 6 =  \frac{8}{3} \times 6 = 8 \times 2 = 16


SKZ89: дякую❤️
Вас заинтересует