Здравствуйте
Прошу помочь
Химия 9 класса
Задача :
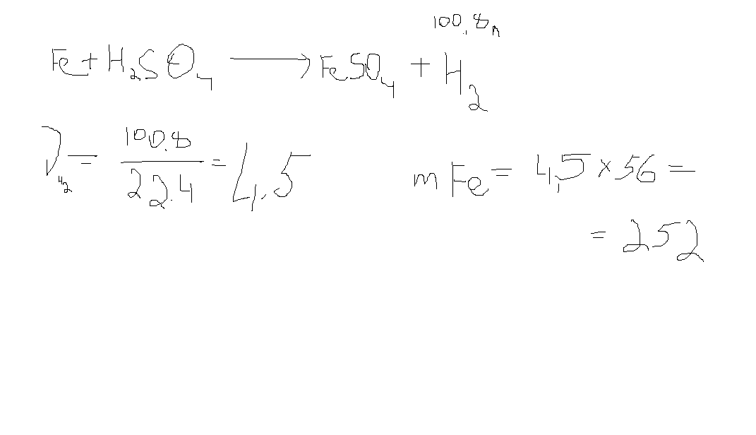
Какое количество вещества железа вступило в реакцию с разбавленной серной кислотой,если в результате реакции выделилось 100,8 л водорода (н.у.) ?
И еще химическое уравнение
Fe + H2SO4 -> FeSO4 + H2
Ответы
Ответ дал:
0
не уверен... что правильно решил...
Приложения:

Вас заинтересует
2 года назад
8 лет назад
10 лет назад
10 лет назад