• Предмет: Математика
  • Автор: temirovasaikal6
  • Вопрос задан 1 год назад

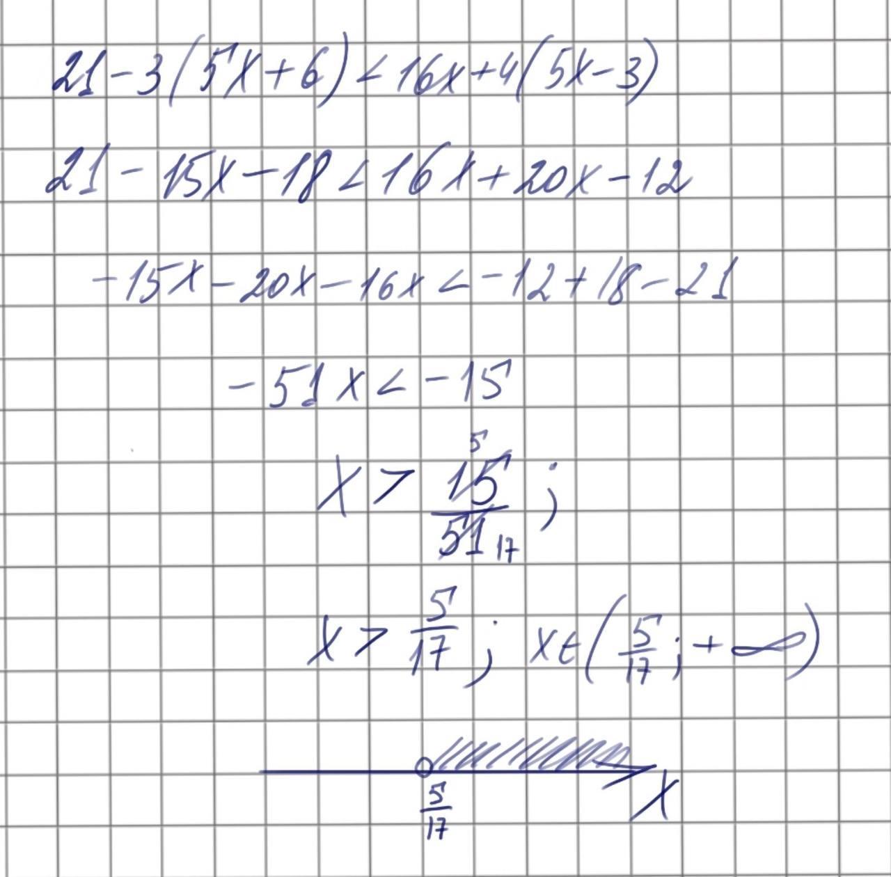
(21-3(5x+6)<16x+4(5x-3)
помогите пожалуйста мне на завтра оччччень нужного пожалуйста ​

Ответы

Ответ дал: hhidrogenium
0

Ответ:.........…на фото



Пошаговое объяснение:

Приложения:
Вас заинтересует