• Предмет: Математика
  • Автор: potatoes71
  • Вопрос задан 2 года назад

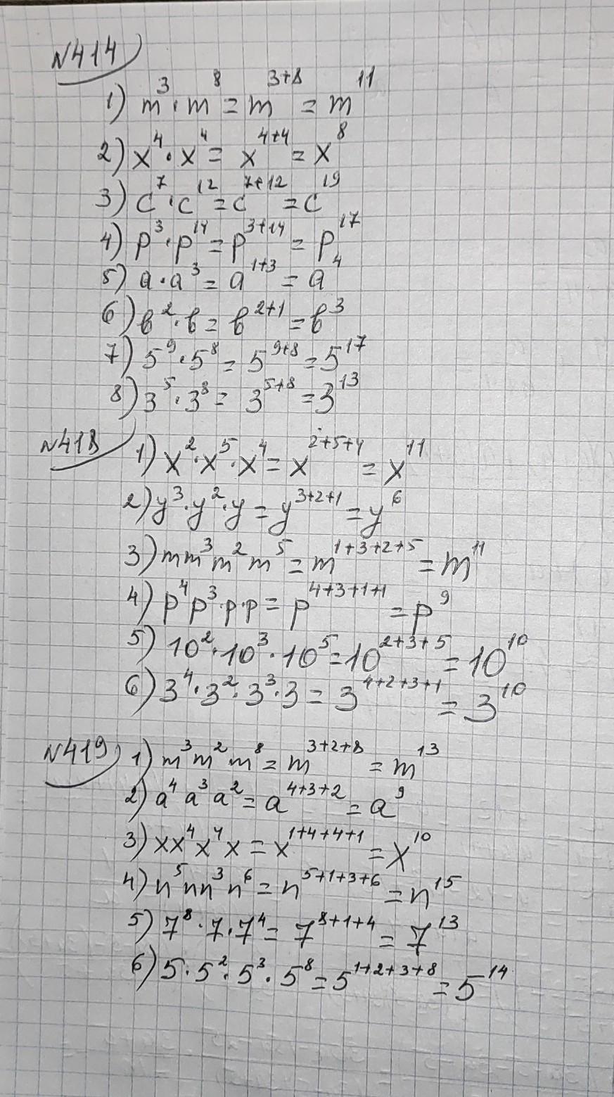
Помогите, пожалуйста, решить. И желательно с объяснением. Нужны обведенные номера 414,418,419

Приложения:

Ответы

Ответ дал: tetamotatetyamotya
1

Ответ:

...............

Пошаговое объяснение:

.................

Приложения:

potatoes71: Нино вар
tetamotatetyamotya: сасиамовноа,Нино♥️
tetamotatetyamotya: Нино,ромел сколаши сцавлобт?
potatoes71: Аранаир номери, частная школа
potatoes71: Სასიამოვნოა!!
tetamotatetyamotya: вы пропустили тему,или педагог не понятно объясняет?В частной должны досконально каждому ученику объяснять,разжёвывая тему
tetamotatetyamotya: дамицерет тквени телеграми,если родители разрешат и вы хотите
tetamotatetyamotya: ак ар шеидзлеба амдени цера)))))
svetlanakolotunuk: помогите с вопросом по математике
tetamotatetyamotya: допомогла вам
Ответ дал: hhidrogenium
1

Ответ:

Смотри, тут всё сводится к свойствам степеней

Пошаговое объяснение:

Приложения:
Вас заинтересует