• Предмет: Алгебра
  • Автор: ketrinmetringame
  • Вопрос задан 1 год назад

(x-3)(2x+1) перетворіть у многочлен

Ответы

Ответ дал: larisaserova53
1

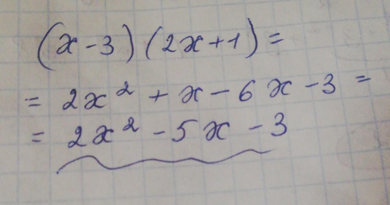
Ответ:

Смотри решение на фото...

Приложения:
Ответ дал: tuhhk4515
0

Ответ:

Відповідь на фото.

Объяснение:

_____

Приложения:
Вас заинтересует