• Предмет: Математика
  • Автор: sezim23062013
  • Вопрос задан 1 год назад

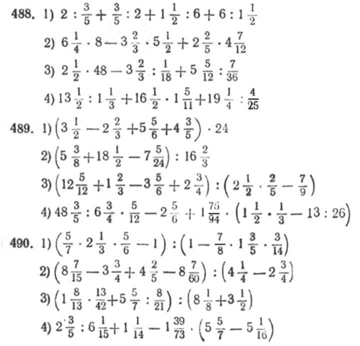
Көмектесіңдерші пж пж пж

Приложения:

Ответы

Ответ дал: kravetsalina20125
0

Ответ:

1 . 7 53/60

2. 40

Пошаговое объяснение:

Вас заинтересует