Ответы
Ответ дал:
0
Ответ: А
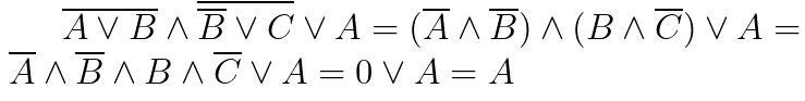
Объяснение: используем законы де-Моргана
Приложения:

Вас заинтересует
1 год назад
1 год назад
1 год назад
1 год назад
2 года назад
2 года назад
8 лет назад