• Предмет: Алгебра
  • Автор: kamanolama727299
  • Вопрос задан 2 года назад

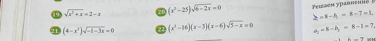
ДАЮ 60 БАЛЛОВ!!!Решите уравнения 21,22(без программы)и сделайте проверку,пожалуйста

Приложения:

Ответы

Ответ дал: Universalka
1

\displaystyle\bf\\21)\\\\(4-x^{2} )\sqrt{-1-3x} =0

ОДЗ :

\displaystyle\bf\\-1-3x\geq 0\\\\-3x\geq 1\\\\\boxed{x\leq -\frac{1}{3} }\\\\\\(2-x)(2+x)\sqrt{-1-3x} =0\\\\\\\left[\begin{array}{ccc}2-x=0\\2+x=0\\-1-3x=0\end{array}\right\\\\\\\left[\begin{array}{ccc}x=2- \ ne \ podxodit\\x=-2\\x=-\dfrac{1}{3} \end{array}\right\\\\\\Otvet \ : \ -\frac{1}{3}  \ ; \ -2\\\\Proverka \ :\\1)\\\\\Big[4-\Big(-\frac{1}{3} \Big)^{2} \Big]\cdot\sqrt{-1-3\cdot\Big(-\frac{1}{3} \Big)} =0\\\\\\\Big(4-\frac{1}{9}  \Big)\cdot\sqrt{-1+1} =0

\displaystyle\bf\\3\frac{8}{9} \cdot 0=0\\\\0=0 \ - \ verno\\\\2)\\\\\Big(4-(-2)^{2} \Big)\sqrt{-1-3\cdot(-2)} =0\\\\(4-4)\cdot\sqrt{-1+6} =0\\\\0\cdot\sqrt{5} =0\\\\0=0 \ - \ verno

\displaystyle\bf\\22)\\\\(x^{2} -16)(x-3)(x-6)\sqrt{5-x} =0\\\\ODZ \ : \ \\\\5-x\geq 0\\\\\boxed{x\leq 5}\\\\\\(x-4)(x+4)(x-3)(x-6)\sqrt{5-x} =0\\\\x-4=0 \  \  \ \Rightarrow \  \  \ x=4\\\\x+4=0 \  \  \ \Rightarrow \  \  \ x=-4\\\\x-3=0 \  \  \ \Rightarrow \  \  \ x=3\\\\x-6=0 \  \  \ \Rightarrow \  \  \ x=6 \ - \ ne \ podxodit\\\\5-x=0 \  \  \ \Rightarrow \  \  \ x=5\\\\Proverka \ :

\displaystyle\bf\\(4^{2} -16)(4-3)(4-6)\sqrt{5-4} =0\\\\0\cdot 1\cdot (-2)\cdot1=0\\\\0=0 \ - \ verno\\\\((-4)^{2} -16)(-4-3)(-4-6)\sqrt{5-(-4)} =0\\\\0\cdot (-7)\cdot (-10)\cdot3=0\\\\0=0 \ - \ verno\\\\(3^{2} -16)(3-3)(3-6)\sqrt{5-3} =0\\\\-7\cdot 0\cdot (-3)\cdot\sqrt{2} =0\\\\0=0 \ - \ verno\\\\(5^{2} -16)(5-3)(5-6)\sqrt{5-5} =0\\\\9\cdot 2\cdot (-1)\cdot0=0\\\\0=0 \ - \ verno\\\\Otvet \ : \ 4 \ ; \ -4 \ ; \ 3 \ ; \ 5


kamanolama727299: Огромное спасибо!!!
Вас заинтересует