Ответы
                                            Ответ дал: 
                                                                                    
                                        
                                            
                                                
                                                
                                                
                                                    0
                                                
                                            
                                        
                                    Ответ:
Пошаговое объяснение:
1) 1,6
2)0.777777777777
3)0
                    kyer29:
                    done
                
            
                    
                    Чего
                
            
                    
                    А можно решение
                
            
                    
                    Ау чел
                
            
                                            Ответ дал: 
                                                                                    
                                        
                                            
                                                
                                                
                                                
                                                    0
                                                
                                            
                                        
                                    
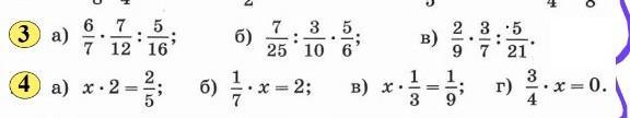
                                        В «б)» там пятнадцать 7 
                                    
                                                Приложения:
                     
                            
                    
                    Надеюсь помогла
                
            
                    
                    Даа
                
            
                    
                    Можешь 4 тоже
                
            
                    
                    Умаляю
                
            Вас заинтересует
                
                        1 год назад
                    
                
                        1 год назад
                    
                
                        1 год назад
                    
                
                        2 года назад
                    
                
                        2 года назад
                    
                
                        8 лет назад
                    
                
                        8 лет назад
                    
                