• Предмет: Химия
  • Автор: margo0611
  • Вопрос задан 1 год назад

ТЕРМІНОВООО, БУДЬ ЛАСКА
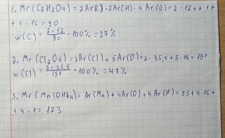
1. Визначте масову частку (у %) Карбону в сполуці С2Н2О4.
2. Визначте масову частку (у %) Хлору у сполуці Cl2O5.
3. Вкажіть значення відносної молекулярної маси сполуки, формула якої Mn(OH)4
ХІМІЯ! СПАМ-БАН!

Ответы

Ответ дал: zaihikbunny
1

Ответ:

1. 27%

2. 47%

3. 123

Объяснение:

конкретніше на фото

Приложения:

margo0611: Дуже дякую!
Вас заинтересует