• Предмет: Математика
  • Автор: artemt7773
  • Вопрос задан 1 год назад

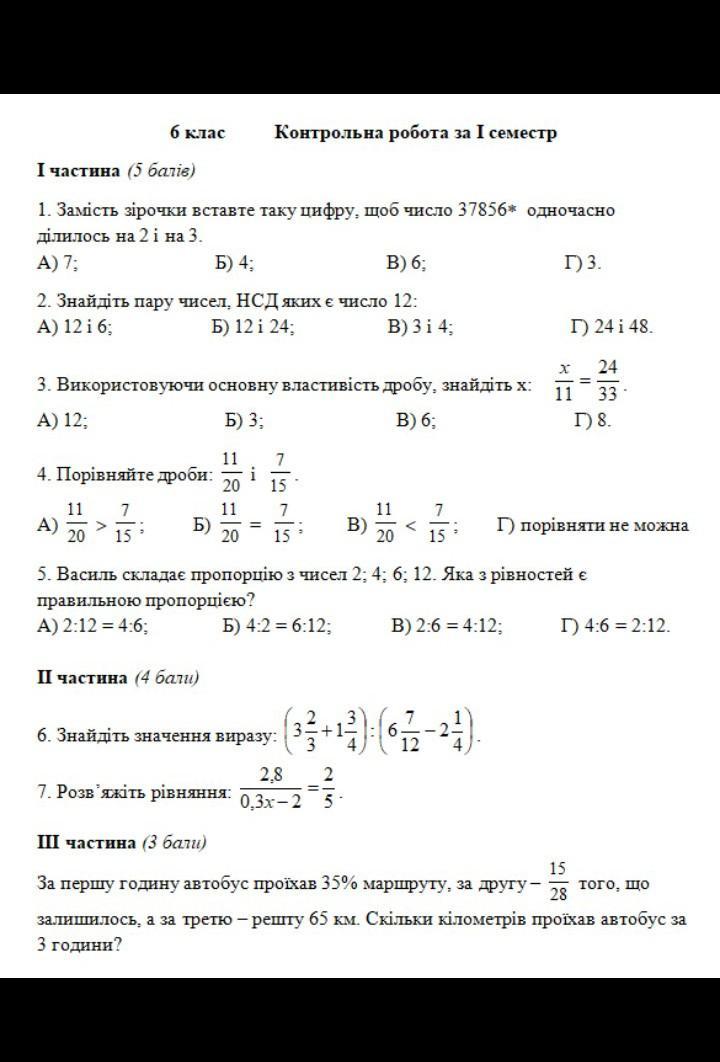
помогите пожалуйста, и все сделайте в развернутом виде ​

Приложения:

Ответы

Ответ дал: sasha239440
1
Трохи неохайно, сорян. Дай,будь ласка, кращу відповідь)
Приложения:

artemt7773: я вас не знаю,но уже люблю
sasha239440: Взаимно
Вас заинтересует