Ответы
Ответ дал:
1
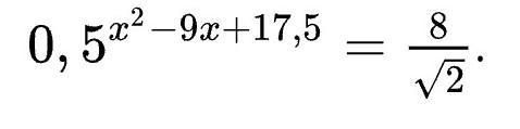
Ответ:
х¹=4 х²=5
Объяснение:
Сверху 3 картинки, не 2 надо пролистать. Если ответ правильный прошу поставить лучший ответ.
Приложения:



Вас заинтересует
1 год назад
1 год назад
1 год назад
1 год назад
2 года назад
2 года назад
8 лет назад