Ответы
                                            Ответ дал: 
                                                                                    
                                        
                                            
                                                
                                                
                                                
                                                    1
                                                
                                            
                                        
                                    Ответ:
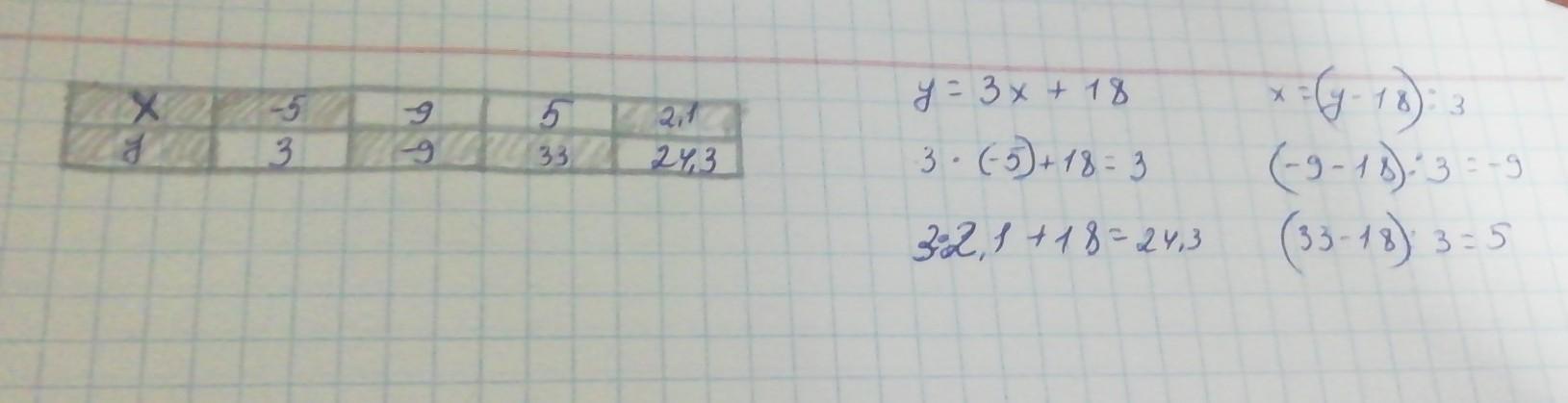
X=-5 y=3
X=-9 y=-9
X=5 y=33
X=2,1 y=24,3
Пошаговое объяснение:
y=3x+18 при х=-5; 2,1
3•(-5)+18=-15+18=3
3•2,1+18=6,3+18=24,3
х=(у-18):3 при у=-9; 33
(-9-18):3=-27:3=-9
(33-18):3=15:3=5
Приложения:
                     
                            
                    mustafozz779:
                    , выразите мой ответ как лучший
                
            
                    
                    отметила
                
            Вас заинтересует
                
                        1 год назад
                    
                
                        1 год назад
                    
                
                        1 год назад
                    
                
                        1 год назад
                    
                
                        8 лет назад
                    
                