Ответы
Ответ дал:
1
Объяснение:
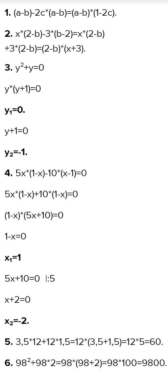
Вот там все написано на фото
Приложения:

Вас заинтересует
1 год назад
1 год назад
1 год назад
1 год назад
2 года назад
8 лет назад