• Предмет: Математика
  • Автор: komarovkiril1
  • Вопрос задан 1 год назад

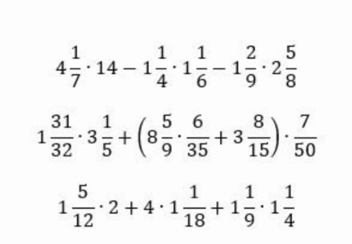
Помогите пж с первым СРОЧНО !!!

Приложения:

mdjupenchen: Відповідь, чи з розрахунками?
mdjupenchen: Я ответила

Ответы

Ответ дал: mdjupenchen
2

Відповідь:53 целая 1/3

пояснення:

на фото розв'язання(⁠ ⁠◜⁠‿⁠◝⁠ ⁠)⁠♡

Если помогла поставьте спасибо пожалуйста )

Ещё если правильно и ответ нормальный поставьте пожалуйста лучший ответ^•^

Приложения:

robloxgame349: дайте на все
Вас заинтересует