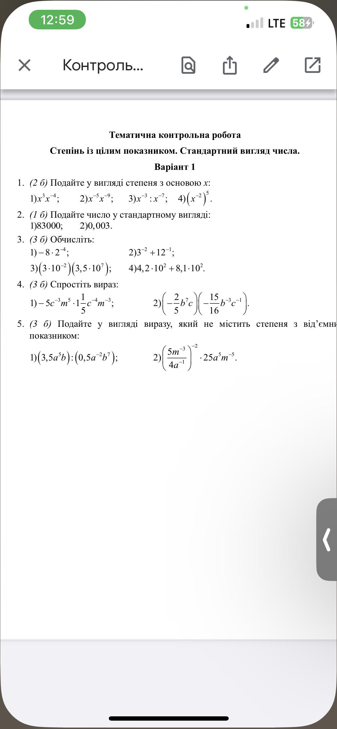
СРОЧНО СДЕЛАТЬ АЛГЕБРУ ЛЕГКИЕ ЗАДАНИЕ ДАЮ 100 БАЛОВ ( желательно написать на листочке)
Приложения:

Ответы
Ответ дал:
1
Чтоб в учёбе ждал успех,
Налету всё схватывай,
Отвечай быстрее всех,
Наперёд срабатывай!
И пятёрки пусть гуськом
В твой дневник проследуют,
Чтоб гордиться день за днём
Мелкими победами!
Приложения:


ivzenkomilana841:
Спасибо большое
Вас заинтересует
1 год назад
1 год назад
1 год назад
2 года назад