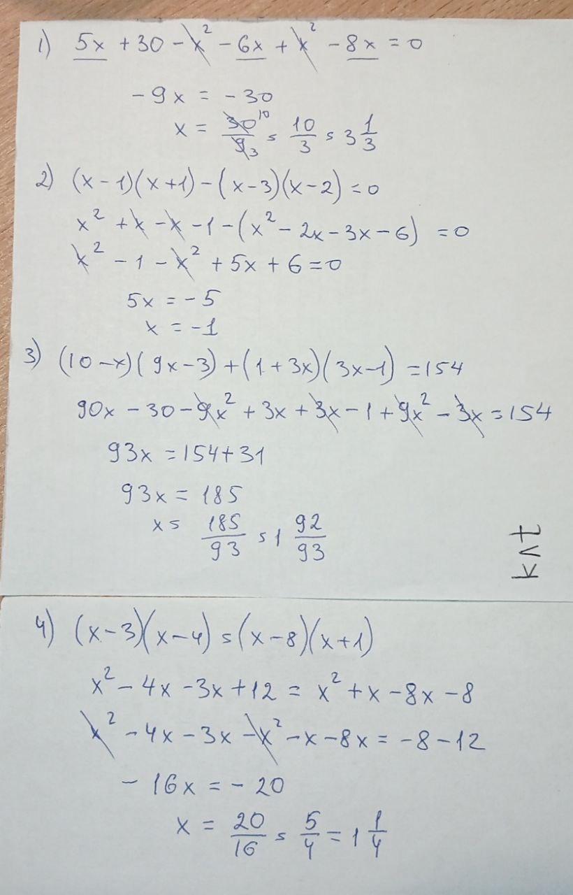
Розв'яжіть рівняння: 1) (5-x)(x+6) + x(x-8)=0; 2) (x-1)(x+1)-(x-3)(x-2)= 0; 3) (10-x)(9x-3)+(1+3x)(3x-1)=154; 4) (x-3)(x-4)=(x-8)(x+1).
Ответы
Ответ дал:
1
Ответ:
Объяснение: в файле
Приложения:
Вас заинтересует
1 год назад
1 год назад
1 год назад
1 год назад
3 года назад
3 года назад
8 лет назад