• Предмет: Алгебра
  • Автор: dimakolychev39
  • Вопрос задан 1 год назад

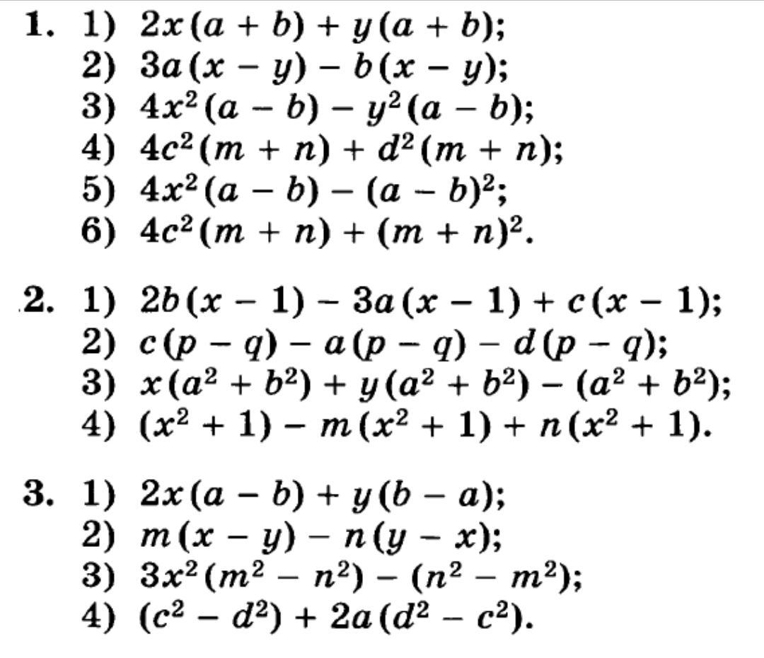
Помогите с примерами нужно вынести множитель за скобки
ДАЮ 59 БАЛЛОВ!!!

Приложения:

Ответы

Ответ дал: ukrainelegendnamber
0

Ответ:

хлопчику а ти знаєш що обманювати не добре

Вас заинтересует