• Предмет: Алгебра
  • Автор: nika49807
  • Вопрос задан 1 год назад

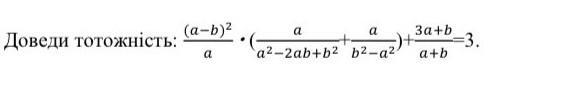
ПРОШУ ДОПОЖІТЬ ДОВЕСТИ ТОТОЖНІСТЬ БУДУ ДУЖЕ ВДЯЧНА!!​

Приложения:

Ответы

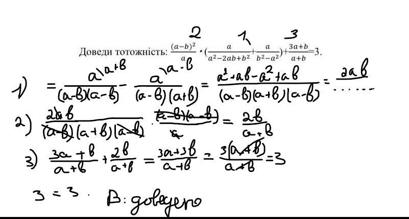
Ответ дал: mainnoobbrawl
1

как то так, надеюсь достаточно разборчиво и правильно

Приложения:

nika49807: спасибо большое!!
Вас заинтересует