• Предмет: Алгебра
  • Автор: maryk14
  • Вопрос задан 1 год назад

Будь ласка, треба до 22.00 ♥︎♥︎♥︎
Даю всі свої бали
Будьласочкааа

Приложения:

maryk14: Пожалуйстааа
maryk14: Заранее огромное спасибо
maryk14: ♥︎♥︎♥︎

Ответы

Ответ дал: homasphoenix
1

Фото-объяснение: ````






P.S: можна кращу відповідь будь ласка?

Приложения:

maryk14: Спасибо лапунька ^_^
maryk14: А як зробити найкращу відповідь ? Бо я тупа :(
maryk14: ¿?
homasphoenix: Сам не знаю. В мене немає твого інтерфейсу(.. Ну нічого
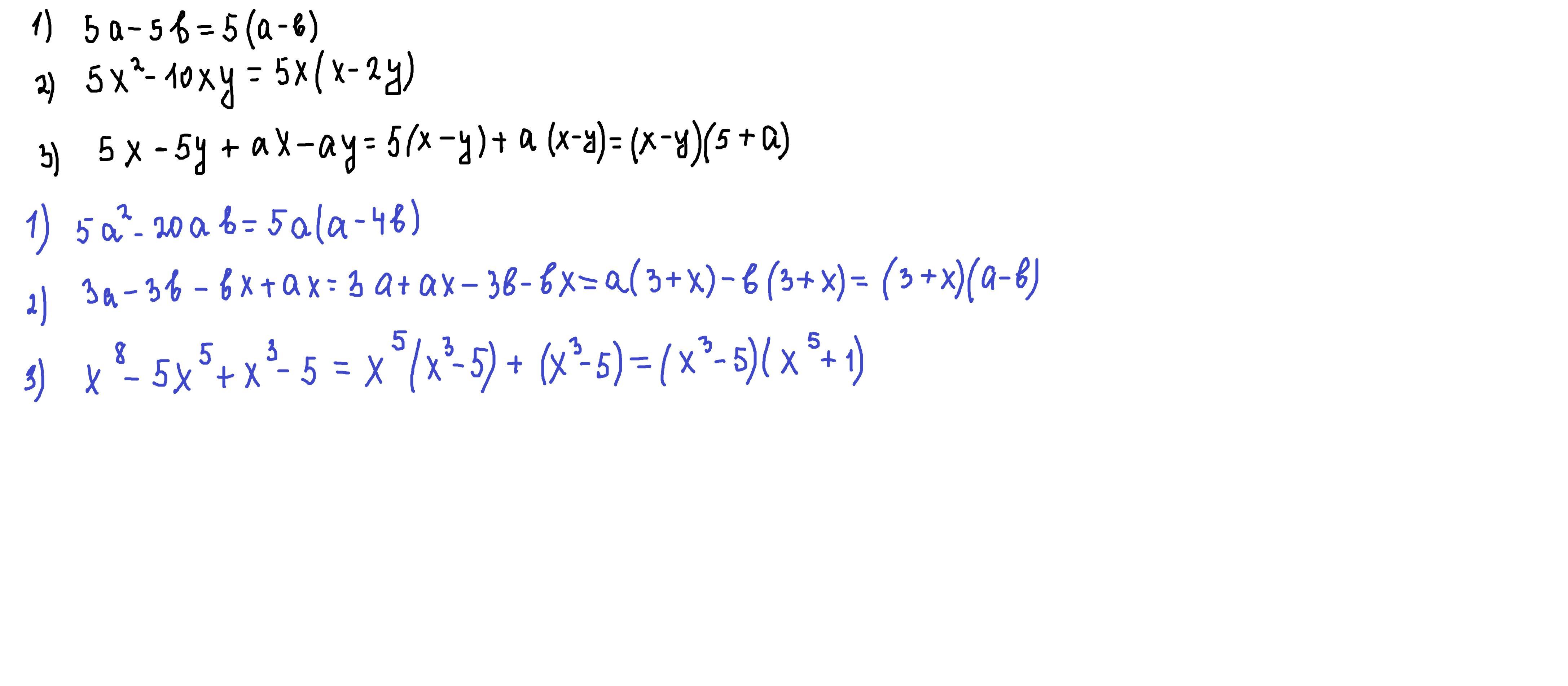
Ответ дал: parus77
1

Ответ:

Объяснение:

решение внизу

Приложения:

maryk14: Спасибо огромное, ОГРОМЕЗНОЕ
maryk14: Я ОЧЕНЬ БЛАГОДАРНА
maryk14: выручили
parus77: пожалуйста,лишь бы все было понятно.
Вас заинтересует