• Предмет: Математика
  • Автор: dilnaznon
  • Вопрос задан 1 год назад

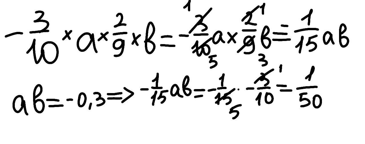
2. Найдите значение выражения, используя свойство умножения:
-3/10*a*2/9*в, при а*в = - 0,3​

Приложения:

jekadva: -3/10*a*2/9*в = -6/90 * ab = -1/15 * ab ; при а*в = - 0,3​ ; -1/15 * (-0,3) = -1/15 * (-3/10) = 3/150 = 1/50 ; ответ: 1/150

Ответы

Ответ дал: iamiyomix
0

Ответ:

ответ указан на картинке ниже:

Приложения:
Вас заинтересует