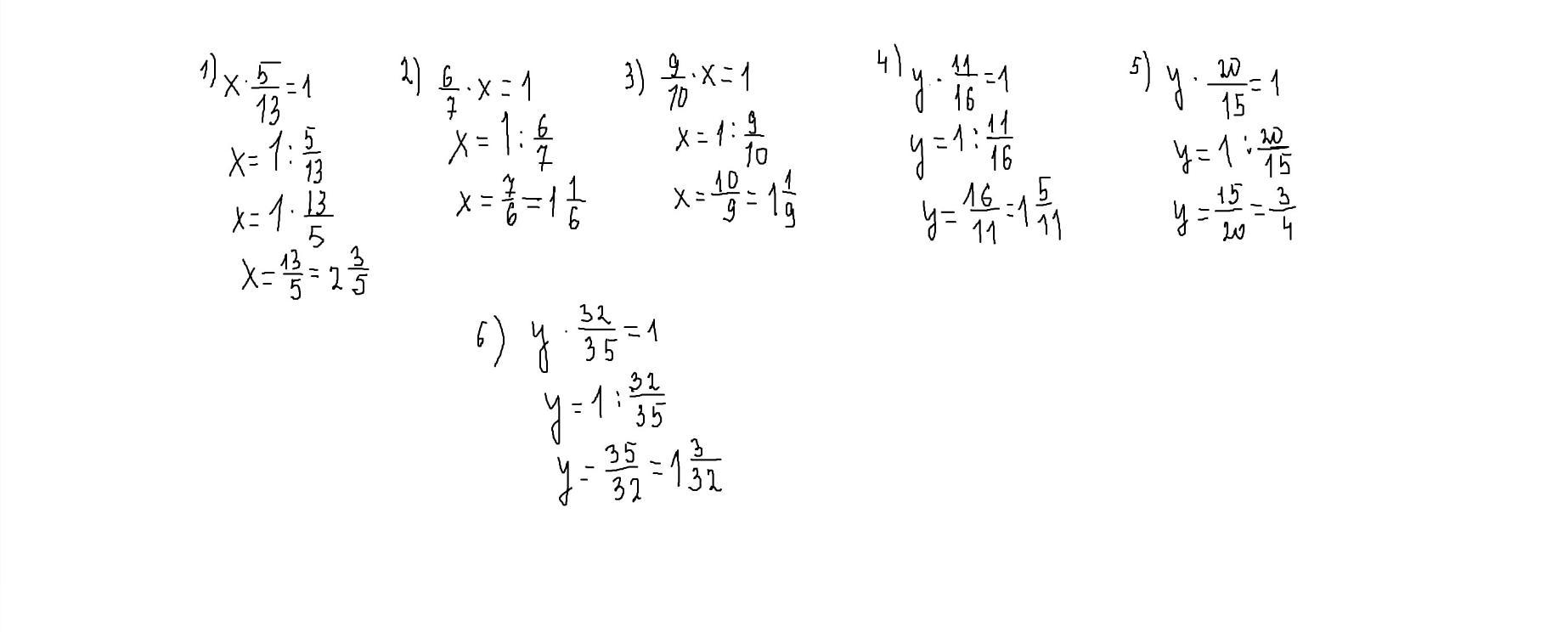
521. Найдите корни уравнений: 1) х . 1; 2) 4) у 5 13 11 16 1 1; 6 5) у . . x = 1; 20 15 1; 3) 9 10 6) у x = 1; 32 35 это уравнения мажна по фото
Ответы
Ответ дал:
1
Ответ:
во всех уравнениях произведения равны 1,это говорит том,что умножены взаимно обратные числа.,например 2\3*3\2=6\6=1,
12\17*17\12=1.Чтобы получить взаимно обратное число надо поменять местами числитель и знаменатель.А если дана смешанная дробь-то сначала надо превратить ее в неправильную дробь.
Пошаговое объяснение:
Приложения:

Vovi716:
Спасибо очень помог
Вас заинтересует
1 год назад
2 года назад
2 года назад
8 лет назад
8 лет назад