• Предмет: Алгебра
  • Автор: Nua228
  • Вопрос задан 1 год назад

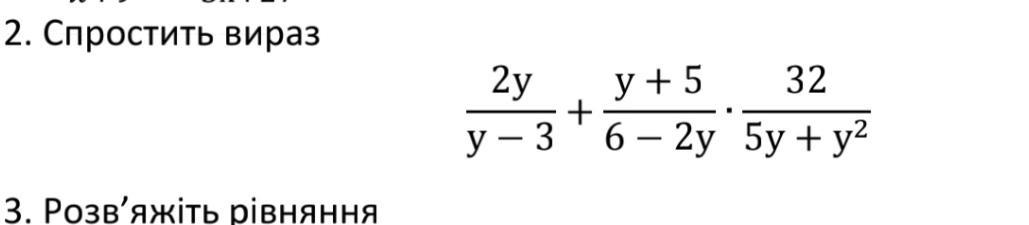
Упростите выражение (на фото)

Приложения:

Ответы

Ответ дал: Yluana5678
1

Ответ:

2y²-16/y²-3y

Объяснение:

надеюсь поймешь

Приложения:
Вас заинтересует