• Предмет: Математика
  • Автор: brestonmery2008
  • Вопрос задан 1 год назад

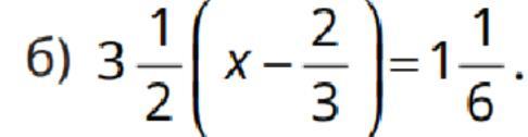
СРОЧНО!!! ПРОШУ ВАС ПОМОГИТЕ!!!

Приложения:

Ответы

Ответ дал: zerkalnyy
1

Відповідь: x = 1

Покрокове пояснення: фото

Приложения:
Вас заинтересует