• Предмет: Физика
  • Автор: dashasmile170706
  • Вопрос задан 1 год назад

ДАЮ 50 БАЛІВ! ТЕРМІНОВО​

Приложения:

Ответы

Ответ дал: erjikz19
0

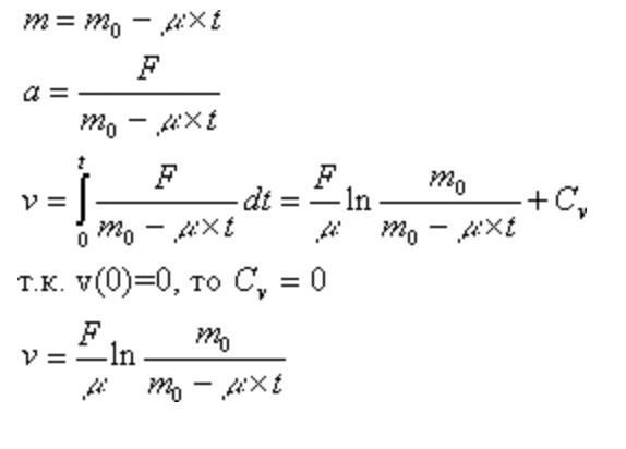
Ответ:

............................

Приложения:
Вас заинтересует