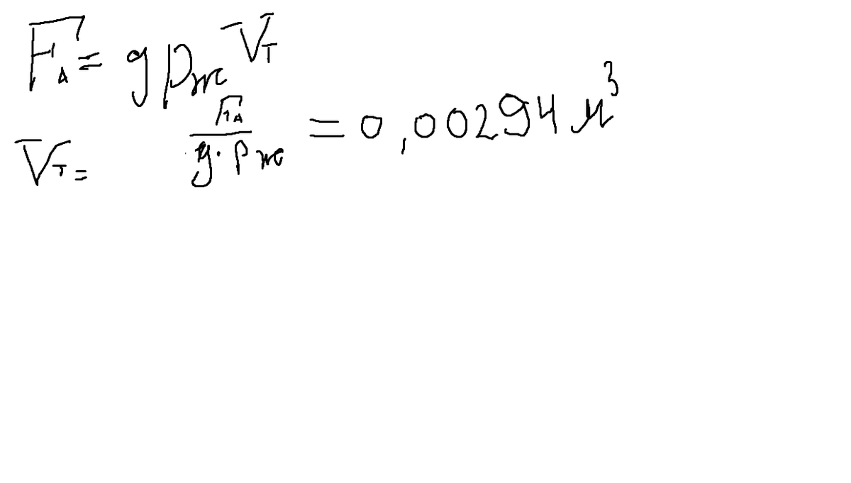
.Определите объем
полностью погруженного в воду тела,
если выталкивающая сила, действующая
на него, равна 29,4 Н. Плотность воды 1000
кг/м3.
Ответы
Ответ дал:
0
Ну вот так вот!,,,,,,,,,,,,,,,,,,,,,,,,,,,,,,,,,,,,,,,,,,,,,,,
Приложения:
Вас заинтересует
3 года назад
3 года назад
8 лет назад
8 лет назад
11 лет назад
11 лет назад
11 лет назад
11 лет назад