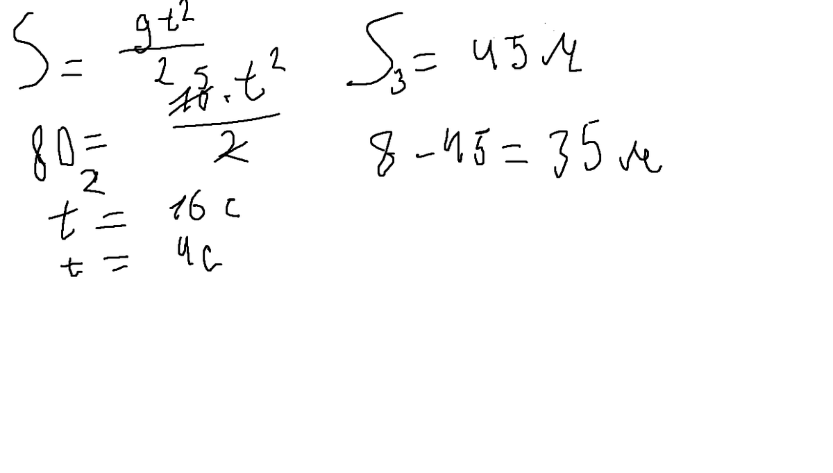
какой путь пройдет свободно падающее тело за последнюю секунду падения, если оно падало с высоты 80 м ?
а)20м
b)25м
c)30м
d)35м
Ответы
Ответ дал:
0
НУ вот так вот!
,,,,,,,,,,,,,,,,,,,,,,,,,,,,,,,,
,,,,,,,,,,,,,,,,,,,,,,,,,,,,,,,,
Приложения:
Вас заинтересует
3 года назад
3 года назад
8 лет назад
8 лет назад
11 лет назад
11 лет назад