• Предмет: Информатика
  • Автор: polikivanovik
  • Вопрос задан 1 год назад

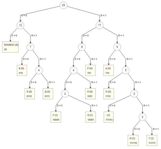
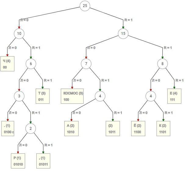
Постройте дерево Хаффмана для любых двух
фраз из списка ниже:
1. Не руби дрова на траве двора.
2. Прецедент с претендентом.
3. Течёт речка, печёт печка.
Покажите полное решение.

Ответы

Ответ дал: karinakoko57
0

1 и 3 фразы из списка.....

Приложения:
Вас заинтересует