• Предмет: Алгебра
  • Автор: nialutvunenkok
  • Вопрос задан 1 год назад

Срочноооооооооооооооо​

Приложения:

Ответы

Ответ дал: romanvoloshi04
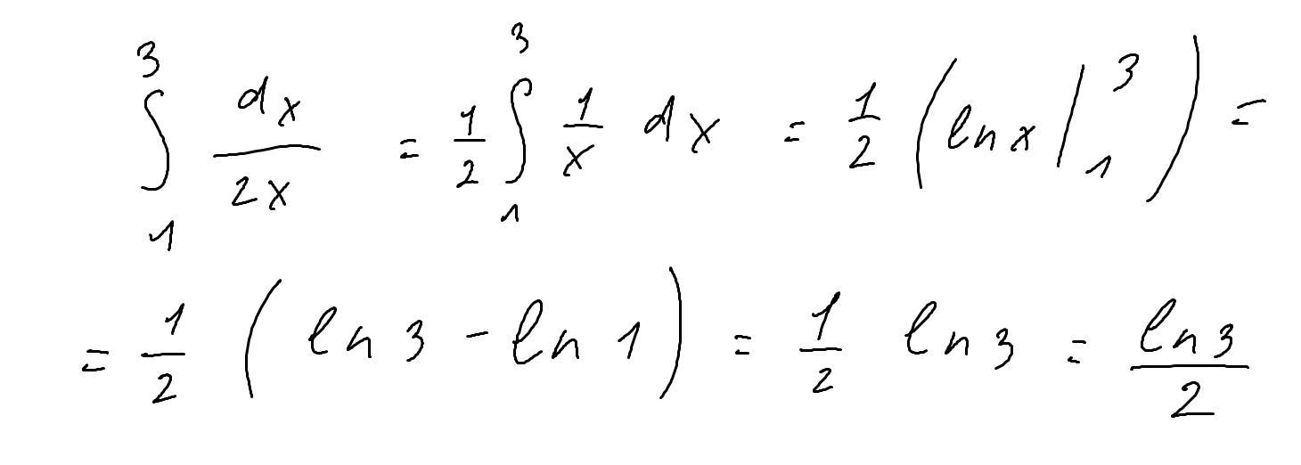
1

Відповідь:

Пояснення:

Приложения:

nialutvunenkok: спасибо огромное,можете помочь и с другими заданиями?
romanvoloshi04: ок
nialutvunenkok: спасибо буду ждать
nialutvunenkok: извините так вы поможете?
nialutvunenkok: просто потратила балов сколько
nialutvunenkok: а никто не помогает
Вас заинтересует