• Предмет: Алгебра
  • Автор: dglushak13
  • Вопрос задан 1 год назад

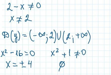
ПОМОГИТЕ, ТЕМА С НЕРАВЕНСТВАМИ. ИЗОБРАЖЕНИЕ ЕСТЬ

Приложения:

Ответы

Ответ дал: математик2011
1

Ответ:

на фото

Объяснение:

Приложения:
Вас заинтересует